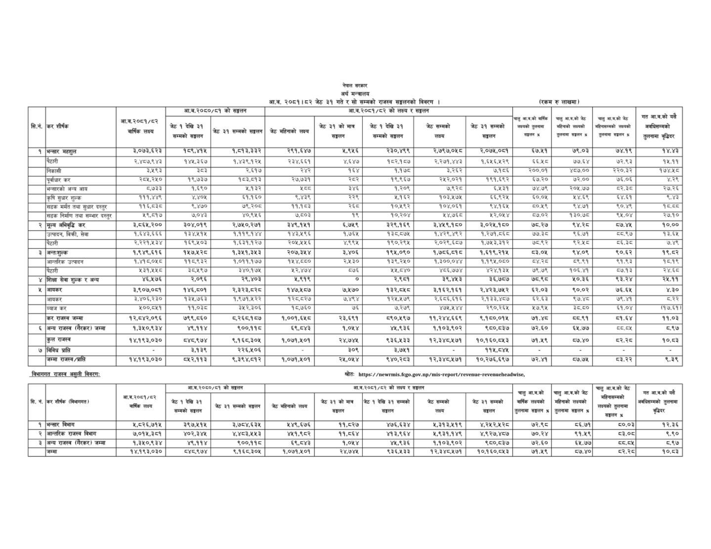
काठमाडौं। चालु आर्थिक वर्षको ११ महिनामा १० खर्ब २७ अर्ब रुपैयाँ राजस्व संकलन भएको छ । अर्थ मन्त्रालयका अनुसार २०८२ साल जेठ ३१ गतेसम्म संकलित राजस्व गत वर्षको सोही अवधिको भन्दा ८८ अर्ब रुपैयाँ बढी हो । गत वर्ष यसै अवधिमा ९ खर्ब ३९ अर्ब रुपैयाँ संकलन भएको थियो ।
अहिले संकलित राजस्व लक्ष्यको ८३.२२ प्रतिशत हो । चालु आर्थिक वर्षको जेठ महिनासम्मको लक्ष्य १२ खर्ब ३४ अर्ब रुपैयाँ थियो । चालु आर्थिक वर्षको जेठ महिनामा मात्रै ९४ अर्ब २ करोड रुपैयाँ राजस्व संकलन भएको छ । गत वर्षको जेठ महिनामा ८५ अर्ब ११ करोड रुपैयाँ राजस्व संकलन भएको थियो ।

Artha Sanjal






